LES ASTRONEWS de planetastronomy.com:
Mise à jour : 26 Octobre 2010
 
Conférences et Événements : Calendrier   .............. Rapport et CR
Astronews précédentes : ICI        dossiers à télécharger par ftp : ICI
ARCHIVES DES ASTRONEWS : clic sur le sujet désiré :
Astrophysique/cosmologie ; Spécial Mars ; Terre/Lune ; Système solaire ; Astronautique/conq spatiale ; 3D/divers ; Histoire astro /Instruments ; Observations ; Soleil ; Étoiles/Galaxies ; Livres/Magazines ; Jeunes /Scolaires
 
Sommaire de ce numéro :  
Voyage aux sources du vent solaire : CR de la conf SAF de M Maksimovic le 13 Oct 2010. (26/10/2010)
In memoriam : Audouin Dollfus, un grand de l’astronomie disparaît. (26/10/2010)
In memoriam : Georges Charpak, un grand de la physique disparaît. (26/10/2010)
ESO : La galaxie la plus distante jamais observée. (26/10/2010)
Solar Dynamics Observatory : Le premier transit lunaire observé. (26/10/2010)
Cluster : 10 ans dans l’espace. (26/10/2010)
JWST : Polissage réussi des premiers segments. (26/10/2010)
Herschel  :.L’UV indispensable à la fabrication d’eau ! (26/10/2010)
Kepler : Découverte d’une étoile à transit multiple. (26/10/2010)
Vu d'en haut :.Le plancton vu par Envisat. (26/10/2010)
Hubble :.L’ère des quasars. (26/10/2010)
Les Mathématiques de l'Astronomie : Peuerbach, Müller, Les Orbites, La Trigo et Copernic par B. Lelard (26/10/2010)
Cassini-Saturne :.La division de Cassini à la loupe. (26/10/2010)
Les rovers martiens.:.Un panorama intéressant. (26/10/2010)
Livre conseillé :.Les planètes, les nôtres et les autres par Th Encrenaz chez EDP. (26/10/2010)
Livre conseillé :.Embarquer dès demain pour l’espace, ouvrage collectif chez Vuibert. (26/10/2010)
Les magazines conseillés :..l’Astronomie de Novembre est paru. (26/10/2010)
Les magazines conseillés :.La Recherche, Les 24 plus beaux défis de la science (26/10/2010)
 
 
 
 
IN MEMORIAM : AUDOUIN DOLLFUS ; UN GRAND DE L’ASTRONOMIE DISPARAÎT. (26/10/2010)
 
Un grand astronome et un grand homme vient de disparaître en ce mois d’Octobre 2010, notre ami Audouin Dollfus n’est plus ; il nous a quitté à Versailles à l’âge de 85 ans.
 
C’était un homme de grand connaissance et pourtant si simple, nous avons eu le plaisir de le rencontrer plusieurs fois à la SAF dont il a été un des présidents, et à l’association VEGA où il eut la gentillesse, devant une salle pleine, de donner une conférence sur sa vie aventureuse.
Nous le regrettons tous.
 
Le professeur Dollfus lors d’une de ses dernières apparitions à la SAF (commission de Planétologie 15 sep2007) document JPM
Le professeur Dollfus lors de sa dernière conférence chez ses amis du Parc aux étoiles de Triel. Il nous parlait de son cher Pic du Midi. (Starparty du 20 Mars 2009)
Document JPM
 
 
 
 
Voici quelques hommages rendus par différents organismes :
 
Hommage de la SAF.
 
L'astronome et aéronaute français Audouin Dollfus est décédé vendredi 1er octobre 2010 à Versailles, à l'âge de 85 ans.
Né le 12 novembre 1924 à Paris d'un père aéronaute, il réalise sa première lunette astronomique à l'âge de 14 ans.
Licencié en sciences mathématiques et diplômé de physique, il était entré en 1945 à l'Observatoire de Meudon, comme élève de l'astronome Bernard Lyot. A une époque où l'on tentait surtout d'étudier le ciel profond, Audouin Dollfus est attiré par un domaine très délaissé à ce moment là : l'étude du système solaire dont il devient un spécialiste reconnu dans le monde entier.
Attaché à la "Physique du système solaire" dont il créa le service de recherche à Meudon, Audouin Dollfus a étudié l'ensemble des planètes du système solaire (et plus spécialement Mars, Vénus, Mercure, Saturne et Jupiter), mais également le Soleil en concevant un coronographe dont seront ensuite équipées toutes les sondes spatiales d'observations solaires.
Alternant les observations à l'observatoire de Meudon et à l'observatoire du Pic du Midi , il est le découvreur de Janus, 10 ème satellite de Saturne (en 1966).
La portée de ses études et de ses innombrables publications (330) lui ont permis d'exercer de très nombreuses fonctions internationales.
Ses études du sol lunaire par la polarimétrie de la lumière lui permettant d'en déduire sa nature basaltique (1955), la NASA lui demandera sa collaboration pour la localisation de l'alunissage d'Appolo 11 et la fabrication des bottes des astronautes qui se poseront sur la Lune en 1969. Il sera ensuite chargé d'étudier les échantillons lunaires ramenés par la mission américaine.
Ses études du sol martien aidèrent à la conception de la sonde Viking qui atterrit sur Mars en 1976.
Audouin Dollfus travailla avec la NASA pour les sondes Ranger, les missions Mariner vers Vénus, le programme Apollo et avec les Soviétiques pour équiper la sonde Mars-5 (1973).
Spécialiste de la cartographie des planètes, il fonde à Meudon le "Centre international de photographies planétaires" qui permettra d'établir des dizaines de cartographies et nomenclatures, domaines d'études très novateurs à l'époque.
 
Audouin Dollfus a surtout été le pionnier de l'exploration spatiale par la pratique de l'astronomie en ballon. Mêlant ses deux passions (l'astronomie et les ballons), il imagine des prototypes qui lui permettent d'emmener un télescope jusqu'à 6.000 mètres d'altitude à bord d'une simple nacelle.
Son vol en ballon le plus spectaculaire est celui du 24 avril 1959, où il s'élève depuis Villacoublay (78) à 14.000 mètres d'altitude (un record de France inégalé à ce jour) seul à bord d'une capsule étanche suspendue à une grappe de 102 ballons. Ses calculs à bord, lui permettront de déduire par la suite l'existence d'eau sur Mars. Cette manière totalement inhabituelle de travailler la recherche en astronomie, ouvrira l'ère de l'astronomie spatiale.
Fin pilote de montgolfière et de ballon libre, il détient plusieurs records du monde de durée, de distance et d'altitude dans cette dernière catégorie.
Historien des sciences, historien de l'aéronautique, membre de l'Aéro-Club de France, il travaillait encore, peu avant sa mort, à la création d'une Cité des ballons et des dirigeables dans le Hangar Y de Meudon.
 
Très soucieux de vulgariser l'astronomie, Audouin Dollfus était un orateur passionné, prisé des clubs d'astronomie amateurs et des aéro-clubs à qui il refusait rarement leurs demandes de conférences et débats.
Un astéroïde (l'astéroïde 2451) porte son nom.
Audouin Dollfus est chevalier de la Légion d'Honneur et a notamment reçu le Grand Prix de l'Académie des Sciences, le Prix Galabert d'Astronautique ; il fut lauréat du prix Janssen de la Société astronomique de France dont il assura également la Présidence.
Il est l'auteur de "50 ans d'astronomie" (Éditions EdP Sciences), Un siècle d'Astronomie par la Société Astronomique de France (coordination), "La grande lunette de Meudon" (CNRS Éditions), "Les autres mondes, Visions d'astronome" (Ed Belin).
 
 
 
 
Hommage de l’Association VEGA à Audouin Dollfus par Bernard Lelard.
 
Parmi tous les hommages rendus ce matin à Audouin Dollfus au Temple de Versailles il y avait celui, bien modeste, d’une association modeste d’astronomes amateurs auxquels le professeur Dollfus avait, comme à bien d’autres, consacré un peu de son temps et passait quelques histoires de son exceptionnel parcours.
 
Audouin Dollfus était un ami de notre association d’astronomie VEGA.
Nous étions fiers d’être photographié avec lui. Nous l’avions rencontré tardivement en janvier 2004 à l’observatoire de Triel lors d’évènements organisés par son élève Gilles Dawidowicz et Philippe Gineste du Parc aux Étoiles.
Il était toujours assis au premier fauteuil du premier rang de la salle où une liaison spéciale avec la NASA permettait de vivre en direct l’atterrissage des rovers Spirit puis Opportunity sur la planète Mars.
J’étais près de lui lors qu’une liaison téléphonique depuis la salle de contrôle du JPL à Pasadena le mettait en relation avec Nathalie Cabrol, une de ses anciennes élèves qui avait étudié avec lui à Meudon  les traces d’écoulements sur la planète Mars, qui lui rappelait que si le rover Spirit se trouvait ce jour là  sur le cratère de Gusev c’était à la suite d’un des cours où le professeur préconisait un atterrissage à cet endroit particulier. Et Nathalie, son diplôme obtenu travaillant à la NASA, avait participé au choix du lieu d’atterrissage ! J’ai alors vu l’émotion prendre Audouin Dollfus et deviné l’immense satisfaction qu’un enseignant peut ressentir en mesurant à ce point l’accomplissement de son enseignement.
 
La même année eut lieu en juin à Triel  des rencontres de clubs d’astronomes amateurs et les membres de notre association purent échanger avec le professeur les meilleures postures pour fixer Mars et Saturne avec les nouvelles méthodes de photographie numérique. Il nous dédicaçait volontiers le grand livre « un siècle d’Astronomie », édité par la Société Astronomique de France, dont il fut président. La même année 2004, en novembre, nous étions toujours à Triel pour célébrer ses 80 ans tandis que le Parc aux Étoiles inaugurait la maquette de la lunette de Huygens dont le professeur avait recalculé les distances du mat qui tient le câble où coulisse la lunette.
 
Audouin Dollfus accepta le 25 février 2006 de donner une conférence publique organisée par notre association au théâtre de Plaisir. J’ai eu ce soir là, l’honneur, et surtout la chance, de l’interroger sur sa longue vie d’astronome et l’émotion qu’il manifesta à l’évocation de son maître Bernard Lyot montra bien les qualités humaines du professeur que l’on souligna beaucoup ce matin.
La minutie dont il fit preuve lors de la préparation de cette conférence, le choix des photographies qu’il souhaitait voir projetées montra bien son application au travail bien fait et son soucis des moindres détails. Ayant longtemps vécu au bas du Pic du Midi, j’ai pu évoquer avec lui ses incroyables travaux en altitude pour être, disait-il, détaché du monde et ainsi mieux suivre les étoiles. Grand spécialiste de la polarimétrie en astronomie au point de déterminer la nature du sol lunaire puis martien, pour disait-il, ajuster les bottes des futurs astronautes et les pattes du module lunaire, il racontait sa joie d’avoir pu restaurer le polarimètre d’Arago. Arago auquel il ressemble tant.
J’ai eu la chance inouïe de trouver chez un antiquaire de Versailles l’édition originale du livre « le Ciel » d’A.Guillemin, ouvrage de la bibliothèque de ses grands parents qui déclencha à 8 ans sa vocation d’astronome. Bien évidemment l’association VEGA acheta l’ouvrage et l’offrit à Audouin Dollfus à l’issue de la fameuse conférence. La rencontre du professeur et du livre de son enfance fut inoubliable et empreint encore d’une grande émotion. Serrant contre lui ce livre magnifique le professeur oublia presque la séance de dédicace de ses livres. Le ramenant chez lui en voiture Audouin Dollfus me dit 5 ou 6 fois :
«  avoir trouvé ce livre, maintenant, ce n’est pas un hasard ! « 
 
J’avais compris ce soir là, comme il fut longuement dit ce matin, qu’Audouin Dollfus, dans la lignée des Lemaître et Copernic, religieux astronomes, était un homme de foi.
 
 
Hommage du LESIA.
 
Hommage de Pierre François Mouriaux.
 
Hommage du Musée de l’Air et de l’Espace.
 
 
Audouin Dollfus  les autres mondes visions d'astronome, interview par G Dawidowicz en Janvier 2009 .
 
Vidéo sur la vie d’Audouin Dollfus et principalement de son extraordinaire ascension en ballon, sur le site du musée de l’air.
 
 
 
 
 
chickens_up.gif
 
IN MEMORIAM : GEORGES CHARPAK, UN GRAND DE LA PHYSIQUE DISPARAÎT. (26/10/2010)
 
 
Triste séquence, Georges Charpak, grand physicien et Prix Nobel disparaît à l’age de 86 ans.
 
 
(photo : CEA)
 
Cet homme simple a réussi à mettre la physique à la portée de tous au travers de son site
La Main à la pâte.
 
Le monde scientifique lui rend hommage, en voici quelques uns :
 
 
 
 
 
 
 
 
Le Point publie ce communiqué :
 
Georges Charpak, lauréat du prix Nobel de physique en 1992, est mort 29 sept 2010 à l'âge de 86 ans, annonce sa famille dans le carnet du quotidien Le Figaro de jeudi.
Spécialiste de recherche nucléaire, Georges Charpak avait été récompensé par la plus prestigieuse des distinctions pour l'invention et le développement des détecteurs de particules. Ses travaux ont notamment permis d'améliorer les techniques de radiographie.
Désireux de vulgariser la science, ce professeur émérite s'était fait connaître du grand public grâce à plusieurs ouvrages visant à rendre son domaine accessible au plus grand nombre. Il avait, dans ce même esprit, coprésidé au lancement en 1995 du programme "la main à la pâte", destiné à repenser l'enseignement des sciences à l'école primaire. Membre de l'Académie des sciences, cet ancien résistant, né le 1er août en 1924 à Dabrovica, localité aujourd'hui située en Ukraine, avait été déporté en 1943 au camp de Dachau.
Lauréat de nombreuses distinctions françaises et internationales, dont le Nobel, Georges Charpak, longtemps chercheur au Centre européen de recherche nucléaire (Cern) de Genève, avait été fait officier de la légion d'honneur. Dans son court message diffusé dans Le Figaro, sa famille demande que soit respectée sa volonté d'obsèques dans la stricte intimité de sa famille
 
 
 
Belle biographie du Lycée NDM :
 
Physicien Français né a Dabrovica (en Pologne). IL obtient le prix Nobel de physique de 1992 pour ses travaux sur les détecteurs de particules élémentaires, notamment de la chambre proportionnelle multifils. Il émigre à Paris en 1932 avec sa famille. Après l’école communale de la rue d’Alésia Georges Charpak s’inscrit en1939 au lycée Saint-Louis. Ingénieur de l’école des mines de Paris en 1948, il est engagé au C.N.R.S. et entre au laboratoire de chimie nucléaire de Joliot–Curie ou il restera jusqu’en 1959.
Ses travaux sur la recherche scientifique
En 1955 année de soutenance de sa thèse de doctorat, Charpak a acquis une parfaite maîtrise des compteurs professionnels. Dès 1956, Charpak met en évidence l’émission de photons lumineux par l’avalanche et découvre que ce phénomène pourrait être utilisé pour photographier en trois dimensions la trace laissée par une particule dans une enceinte gazeuse qu’elle traverse. Il publie ses idées en 1957 après avoir réalisé des essais préliminaires concluants au laboratoire de synthèse atomique d’Ivry. Il constitua une petite équipe de chercheurs passionnés par l’étude des mécanismes de détection et apporte des améliorations importantes au fonctionnement des chambres à étincelles.
Les chambres de Charpak comme on les appelles, sont utiliser dans la plus part des expériences des la fin des années 1960 et restent pendant plus de trois décennies des éléments essentiellement des détecteurs géants qui équipe les collisionneurs modernes. Au cours des années 1970 et 1980, il s’emploi à améliorer les techniques qu’il a mis au point et à les adapter aux besoins des physiciens. Mais ce sont surtout les domaines de la biologie et de la médecine qui retiendront de plus en plus sont attention et son intérêt et auxquels il consacra l’essentiel de son activité scientifique. En collaboration avec des équipes de recherche de l’institut Pasteur et le centre médical universitaire de Genève, il travaille inlassablement à améliorer les techniques d’imagerie des rayonnements ionisant afin d’en augmenter la précision et la sensibilité.
La formation scientifique
Charpak accepte en 1959 l’invitation de Léon Lederman à se joindre à son équipe pour mesurer le moment magnétique du muon. Il s’est aussi intéressé à l’enseignement grâce à sa rencontre avec cet homme, qui était le patron lorsqu’il est arrivé au C.E.R.N., en 1960 et avec qui il avait déjà travaillé un an ou deux. Ce même homme, Lederman a lancé un programme intitulé " Hands on ", que Charpak a traduit par " La main à la pâte ". Arrivé à Chicago en pleine crise de l’enseignement, Mr Lederman a
proposé de s’occuper des écoles, fasciné par le fait que, dans un monde de plus en plus façonné par la science et la technologie, de moins en moins de gens était capable de comprendre la science. Il en avait conclut que l’on pouvait enseigner la science aux enfants, dès l’age de six ans, à condition de s’en donner les moyens. Mais cela supposait de former des instituteurs, dont la grande majorité n’avait jamais reçu de formation scientifique et était incapable d’enseigner les sciences, de forger le matériel et d’élaborer un programme.
 
Il a alors réussi entraîner Charpak dans une école de ghetto de Chicago ; il a été ébloui par le bonheur des enfants. C’était une école relativement typique, avec 99% de noirs, dont la plupart étaient en dessous du niveau de pauvreté. Il régnait pourtant une très grande gaieté dans cette écoles : les enfants apprenait avec joie. De retour en France, il a progressivement réussi à trouver des gens qui l’ont écouté et a convaincu le ministre de l’éducation national de lancer un projet de formation des professeurs des écoles s’appuyant sur son livre : " La main à la pâte ".
 
 
 
Extrait de sa biographie sur le site de l’Académie des Sciences.
 
 
Les principaux travaux de Georges Charpak ont été les suivants :
- mesure de l'anomalie du moment magnétique du muon ;
- étude des couches nucléaires profondes à l'aide de pions positifs ;
- canalisation des particules de haute énergie dans les cristaux ;
- invention, puis développement de détecteurs divers utilisés dans les expériences de physique de particules : chambres à étincelles, chambres à fils proportionnelles et chambres à dérive (chambres de Charpak) ;
- invention de détecteurs de rayons X en cristallographie : chambres à dérive sphérique ;
- détecteurs gazeux à avalanches lumineuses.
Ces méthodes permettent dans certaines applications, de faire des radiographies avec des doses de radiations ionisantes bien inférieures à celles utilisées auparavant.
En 1995, Georges Charpak, rejoint par Pierre Léna et Yves Quéré, a lancé le programme La main à la pâte, destiné à restructurer, en France et en Europe, l'enseignement des sciences à l'école primaire. Des collaborations internationales ont été signées pour étendre cette initiative à de nombreux pays dans le monde.
 
 
G Charpak Prix Nobel de Physique.
 
 
Hommage à G Charpak sur le site de nos amis de Futura Sciences.
 
 
 
chickens_up.gif
 
 
ESO : LA GALAXIE LA PLUS DISTANTE JAMAIS OBSERVÉE. (26/10/2010)
 
Notre ami Thierry Botti de l’OAMP, et correspondant de l’ESO pour la France nous signale cette importante découverte qui est l’objet d’un communiqué de presse  suivant :
 
Une équipe européenne d'astronomes a déterminé la distance de la galaxie la plus éloignée jamais observée en utilisant le très grand télescope (VLT) de l’ESO.
En analysant soigneusement la lueur extrêmement faible provenant de la galaxie, ces astronomes ont constaté qu’ils étaient en train de l’observer alors que l’Univers avait à peine 600 millions d'années (le décalage vers le rouge, ou redshift, est de 8,6).
 
Il s’agit des premières observations confirmées d’une galaxie dont la lumière dissipe l’opaque brouillard d’hydrogène qui emplissait le cosmos dans les premiers temps de l’Univers. Ce résultat est publié dans la revue Nature du 21 octobre 2010.
 
« En utilisant le Very Large Telescope de l'ESO, nous avons confirmé qu'une galaxie repérée auparavant avec le télescope spatial Hubble était l'objet le plus lointain dans l'Univers, jamais observé jusqu’à présent », déclare Matt Lehnert (Observatoire de Paris - Laboratoire « Galaxies, étoiles, physique, instrumentation », CNRS, Université Paris Diderot), premier auteur de l’article scientifique présentant ces résultats.
« La puissance du VLT et de son spectrographe SINFONI nous permet de mesurer avec exactitude la distance de cette galaxie très peu lumineuse et nous constatons que nous la voyons lorsque l'Univers avait moins de 600 millions d'années. »
 
L'étude de ces premières galaxies est extrêmement difficile. Du fait du temps nécessaire pour que leur lumière, initialement éclatante, atteigne la Terre, elles nous apparaissent très peu lumineuses et petites. De plus, la majorité de cette faible lumière est décalée vers la partie infrarouge du spectre car sa longueur d’onde est étirée par l’expansion de l’Univers – un effet connu en anglais sous le nom de redshift.
 
Pour accentuer la difficulté, dans ces premiers temps, moins d’un milliard d’années après le Big Bang, l'Univers n'était pas entièrement transparent. Il était alors presque entièrement rempli d’un brouillard d’hydrogène qui absorbait le violent rayonnement ultraviolet émis par les jeunes galaxies.
La période pendant laquelle le brouillard était encore en cours de dissipation par ce rayonnement ultraviolet est appelée période de réionisation (Lorsque l'Univers s'est refroidi après le Big Bang, il y a environ 13,7 milliards d'années, les électrons et les protons se sont combinés pour former  de l'hydrogène. Ce gaz sombre et froid est le principal constituant de l'Univers pendant la période que l’on appelle l’« Âge sombre », quand il n'y avait aucun objet émettant de la lumière. Cette phase s’est finalement achevée lorsque les premières étoiles se sont formées, leur rayonnement ultraviolet intense rendant lentement le brouillard d’hydrogène à nouveau transparent en re-séparant les atomes d’hydrogène en électrons et en protons, un processus appelé la réionisation. Dans l'histoire des débuts de l'Univers, cette époque a duré environ 150 à 800 millions d'années après le Big Bang. Comprendre comment la réionisation s'est produite et comment les premières galaxies se sont formées et ont évolué est l'un des principaux défis de la cosmologie contemporaine.)
 
En dépit de ces difficultés, la nouvelle caméra à grand champ (la Wide field Camera 3) installée au foyer du télescope spatial Hubble de la NASA/ESA a découvert en 2009 plusieurs objets constituant de sérieux candidats pour être des galaxies observées à cette période de réionisation. La confirmation des distances pour des objets si faibles et si éloignés constitue un énorme défi. Ces distances peuvent seulement être déterminées en utilisant les spectrographes qui équipent les très grands télescopes au sol pour mesurer le décalage vers le rouge de la lumière des galaxies.
 
Matt Lehnert explique : « Après l'annonce des galaxies « candidates » détectées par Hubble, nous avons fait un rapide calcul et nous avons été enthousiastes en constatant que la très grande puissance collectrice du VLT, lorsqu’il est associé à la sensibilité du spectroscope infrarouge SINFONI et à une très longue durée d'observation, doit nous permettre de détecter la lueur extrêmement faible d'une de ces galaxies très éloignées et de mesurer sa distance. »
 
 
 
Grâce à une requête spéciale adressée au Directeur Général de l’ESO, cette équipe a obtenu du temps de télescope avec le VLT et a observé une galaxie candidate appelée UDFy-38135539  (signifie « Ultra Deep Field » (le champ ultra profond) et le numéro indique sa position précise dans le ciel) pendant 16 heures.
 
 
 
Après deux mois d’analyses méticuleuses et de tests de leurs résultats, les chercheurs ont constaté qu'ils avaient clairement détecté la lueur très faible de l'hydrogène avec un décalage vers le rouge de 8,6, ce qui fait de cette galaxie l'objet le plus éloigné jamais confirmé par la spectroscopie.
 
Un décalage vers le rouge de 8,6 correspond en effet à une galaxie observée juste 600 millions d’années après le Big Bang.
 
 
 
Crédit photo : NASA, ESA, G. Illingworth (UCO/Lick Observatory and University of California, Santa Cruz) and the HUDF09 Team
 
 
 
 
Nicole Nesvadba, co-auteur de l’article scientifique (Institut d'Astrophysique Spatiale, CNRS, Université Paris-Sud 11,) résume ce travail, « Mesurer le décalage vers le rouge de la galaxie la plus distante détectée jusqu’à présent est un travail vraiment enthousiasmant en lui-même, mais les implications astrophysiques de cette détection sont bien plus importantes. C'est la première fois que nous savons avec certitude que nous observons une des galaxies ayant percé le brouillard qui remplissait le très jeune Univers ».
Une des choses étonnantes au sujet de cette découverte c’est que la lueur d'UDFy-38135539 semble ne pas être assez forte pour dissiper toute seule le brouillard d'hydrogène.
« Il doit y avoir d'autres galaxies, probablement plus faibles, moins massives et proches d’UDFy-38135539, qui ont également aidé à rendre l'espace transparent autour de cette galaxie. Sans cette aide additionnelle, la lumière de la galaxie, quel que soit son éclat, aurait été absorbée dans le brouillard d'hydrogène environnant et nous n'aurions pas pu la détecter », explique Mark Swinbank (Université de Durham) et co-auteur de l’article.
Jean-Gabriel Cuby (Laboratoire d’Astrophysique de Marseille, CNRS, Université de Provence), un autre co-auteur, remarque que « l’étude de la période de réionisation et de la formation des galaxies pousse au maximum de leurs possibilités les télescopes et les instruments existant, mais c'est justement ce type de problématique scientifique qui sera « monnaie courante »  quand l’European Extremly Large Telescope (E-ELT) de l’ESO – qui sera le plus grand télescope optique et proche infrarouge au monde – sera opérationnel.
 
L’équipe est composée de M. D. Lehnert (Observatoire de Paris – Laboratoire GEPI / CNRS-INSU / Université Paris Diderot, France), N. P. H. Nesvadba (Institut d’Astrophysique Spatiale / CNRS-INSU / Université Paris-Sud, France), J.-G.Cuby (Laboratoire d’Astrophysique de Marseille / CNRS-INSU / Université de Provence, France), A. M. Swinbank (University of Durham, UK), S. Morris (University of Durham, UK), B. Clément (Laboratoire d’Astrophysique de Marseille / CNRS-INSU / Université de Provence, France), C. J. Evans (UK Astronomy Technology Centre, Edinburgh, UK), M. N. Bremer (University of Bristol, UK) et S. Basa (Laboratoire d’Astrophysique de Marseille / CNRS-INSU / Université de Provence, France).
 
 
POUR ALLER PLUS LOIN :
 
Les simulations de la réionisation faites par Marcelo Alvarez
 
Vidéo : The most distant galaxy ever measured. 5 minutes choisir son format.
 
Video : The era of reionisation (simulation) 1 minute choisir son format
 
La fin des ages sombres : CR de la conférence SAF de M Langer de l'IAS
 
 
 
 
 
 
chickens_up.gif
 
 
 
SOLAR DYNAMICS OBSERVATORY :LE PREMIER TRANSIT LUNAIRE OBSERVÉ. (26/10/2010)
(crédit photo : NASA/SDO)
 
 
 
La sonde solaire SDO, bien connue de nos lecteurs, vient d’observer ce 7 octobre 2010 son premier transit lunaire (passage de la Lune devant le disque solaire), provoquant une éclipse partielle du Soleil.
 
 
 
Une vidéo de l’événement est même disponible au téléchargement ou à la visualisation.
 
En étudiant précisément les photos prises, on peut distinguer le relief lunaire, démontrant ainsi l’extrême qualité des instruments de mesure de cette sonde.
 
 
 
 
 
 
 
 
 
 
chickens_up.gif
 
CLUSTER : 10 ANS DANS L’ESPACE. (26/10/2010)
 
 
La mission CLUSTER (« amas » littéralement en français) lancée en 2000 par l’ESA comporte quatre satellites identiques.
Une fois placée sur une orbite quasi polaire très elliptique (4 à 20 rayons terrestres du périgée à l'apogée), ils volent en formation en occupant les sommets d'un tétraèdre de dimension ajustable.
Ils ont pour nom afin de les différencier : Rumba, Samba, Salsa et Tango.
 
Ils ont pour but d’approfondir la connaissance des phénomènes d'interaction Soleil-Terre, largement invisibles.
On peut voir une coupe de la magnétosphère ici.
 
Illustration : vue d’artiste des 4 clusters (ESA)
 
 
 
 
 
 
L’ESA a célébré ces 10 ans il y a quelques semaines et a publié un communiqué à ce sujet  dont voici un extrait :
 
En orbite depuis le 1er septembre 2000, Cluster mène l'étude la plus poussée qui ait jamais été réalisée des interactions entre le vent solaire et le champ magnétique qui protège la Terre, et en donne une représentation en trois dimensions.
 
Le vent solaire est un flux de gaz chaud et ténu chargé électriquement qui est émis en permanence par le Soleil.
En fonction de l'intensité de l'activité magnétique du Soleil, ce vent peut se muer en une violente tempête.
Cluster a notamment montré comment les particules de vent solaire traversent le bouclier magnétique terrestre pour atteindre l'atmosphère de notre planète. Lors de certains événements de météorologie spatiale, les orages solaires peuvent provoquer des perturbations sur Terre au niveau des systèmes de télécommunications, des réseaux électriques et informatiques ou encore des systèmes de navigation.
 
Voici maintenant dix ans que Cluster évolue à l'intérieur et à l'extérieur du champ magnétique terrestre, nous  livrant des données extrêmement précieuses.
 
 
 
Les Clusters se sont particulièrement intéressés à la reconnexion magnétique, ce processus intervient quand des champs magnétiques entrent en collision, dégageant ainsi une énergie énorme.
 
L’étude de ce phénomène est essentielle en physique des plasmas, on sait qu’il est responsable des éruptions solaires.
 
Cluster a permis d’établir la première carte 3D des ces reconnexions magnétiques.
 
 
La mission devrait être prolongée au moins jusqu’en 2012.
 
 
POUR ALLER PLUS LOIN :
 
Le site de Cluster à l’ESA et plus en détails ici.
 
Les 10 ans de Cluster vus par le CNEs.
 
La mission Cluster par l’Université P et M Curie.
 
Cluster makes crucial step in understanding space weather
 
EADS Astrium fête les 10 ans de Cluster.
 
La liaison Terre - Soleil vue en 3D par les 4 satellites Cluster Superbe présentation ppt sur la mission Cluster par un de ses responsables, Philippe Escoubet de l’ESTEC.
 
Hinode, les jets du Soleil un ancien astronews sur le sujet.
 
 
Film sur la reconnexion magnétique et les aurores.
 
Animation des éjections de masse coronale (CME) quittant le soleil et pénétrant le champ magnétique terrestre avec la reconnexion magnétique créant les aurores polaire
 
 
 
 
chickens_up.gif
 
 
JWST : POLISSAGE RÉUSSI DES PREMIERS SEGMENTS. (26/10/2010)
 
 
Comme on le sait, le successeur désigné du télescope spatial Hubble est le James Webb Space Telescope (JWST en abrégé), nous en avons souvent parlé ; il devrait être lancé vers 2015 par une fusée Ariane.
 
Son miroir primaire devrait faire 6,5m de diamètre et est constitué de différents segments hexagonaux identiques en Béryllium de 1,3m de diamètre, chacun pesant environ 20kg.
 
 
Quelques segments de ce miroir ont été recouverts d’un dépôt ultra fin (120nm !) d’or par évaporation, afin d’assurer la bonne réflexion de la lumière IR reçue.
 
Ils ont été envoyés ensuite chez Ball Aerospace (le maître d’œuvre) pour fixation des supports.
 
L’ensemble a finalement effectué un test cryogénique (l’espace est très froid !) au MSFC (Marshall Space Flight Center) à –240°C.
On teste la distorsion du miroir à la basse température.
 
On voit ici, un ensemble de 6 segments en train d’être installé dans la chambre cryogénique du MSFC.
Crédit photo : Credit: NASA/MSFC/Emmett Givens
 
Les tests ont été passés avec succès !
 
 
 
 
 
 
 
 
 
On peut voir ici aussi une belle photo de l’assemblage de quelques segments chez Ball Aerospace.
 
 
 
POUR ALLER PLUS LOIN :
 
Le site du JWST à la NASA.
 
Plus spécifiquement sur les miroirs, très intéressant.
 
Article de nos amis de Futura Sciences sur ce sujet.
 
Vidéo (très lourde) sur le JWST mais intéressante sur ces tests cryogéniques.
 
 
 
chickens_up.gif
 
 
HERSCHEL:.L’UV INDISPENSABLE À LA FABRICATION DE L’EAU ! (26/10/2010)
(crédit photo : Herschel/HIFI /SPIRE et PACS)
 
Le télescope spatial IR Herschel vient de découvrir que la lumière UV est le facteur le plus important pour créer de l’eau dans l’espace.
Une étoile en fin de vie (une géante rouge, des centaines de fois plus étendue que notre Soleil ; IRC+10216 à 500 années lumière de nous dans le Lion) est en effet entourée par un gigantesque nuage de poussières et de vapeur d’eau, c’est ce qui a été découvert en 2001 par une équipe d’astronomes.
 
Cette étoile était connue pour être une étoile de type « carbonée », avec donc enveloppe riche en carbone et pauvre en H et O.
La provenance de l’eau était donc un mystère.
 
 
C’est Herschel, avec ses instruments PACS et SPIRE, qui aida à élucider cette énigme ; en mesurant la température de la vapeur d’eau.
 
On trouva des températures entre –200°C et +800°C. la température inférieure correspond au milieu interstellaire, par contre les +800°C prouvent que la formation a été faite très proche de l’étoile.
 
Photo : L'étoile CW Leonis au centre chauffe son écrin de poussière dont la température varie du plus chaud (bleu) au plus froid (rouge). Elle libère aussi de la matière sous forme d’un vent stellaire violent, dont une partie apparaît comme une onde de choc à gauche de l’étoile
 
La détection d’eau semblent indiquer que c’est la lumière UV des étoiles proches qui pénètrent l’enveloppe de cette étoile et casse les molécules de monoxyde de C et de Si en libérant de l’Oxygène , qui peut ensuite se combiner avec H pour former des molécules d’eau.
 
 
 
 
 
Il est cocasse de penser que l’UV si dangereux pour la vie terrestre, soit peut être un composant essentiel dans la fabrication d’eau interstellaire !
 
Le travail d’analyse a été conduit pas 37 chercheurs ressortissants de 8 pays. L’auteur principale est Leen Decin, de l’Université catholique de Louvain (Belgique). Marcelino Agúndez de l’Observatoire de Paris, Michel Guélin de Institut de Radio Astronomie Millimétrique - IRAM et Claudine Kahane de l’Observatoire de Grenoble ont contribué en France.
Marcelino Agúndez est chercheur post-doctorant au Laboratoire Univers et Théories - LUTH, unité mixte de recherche entre l’Observatoire de Paris, le CNRS et l’Université Paris-Diderot.
 
 
Toutes ces informations sont parues dans un article de la revue Nature et intitulé : Warm water vapour in the sooty ouflow from a luminous carbon star. Il n’est pas disponible gratuitement malheureusement, mais les figures accompagnant l’article le sont, on peut les consulter sur cette page. La figure 2 est particulièrement intéressante sur la composition autour d’une étoile carbonée.
 
 
 
POUR ALLER PLUS LOIN :
 
Article de Techno Science sur le sujet.
 
L’observatoire de Paris publie un communiqué sur cette découverte.
 
Le CEA publie aussi cet article à ce sujet.
 
 
 
chickens_up.gif
 
KEPLER :.DÉCOUVERTE D’UNE ÉTOILE À TRANSIT MULTIPLE. (26/10/2010)
 
La sonde Kepler, en chasse de planètes extra solaires, vient de découvrir il y a quelques mois, un système stellaire particulier ;ce système possède plusieurs planètes qui transitent en même temps devant leur étoile.
 
Cette étoile, baptisée Kepler 9, est du type solaire, un peu plus grande que le Soleil et située dans la Lyre à près de 2200 années lumière de nous.
 
 
Slides : © Kepler Team. (clic sur les images pour plus de résolution)
 
 
On a pu montrer que le système planétaire était multiple car les transits détectés donnaient lieu à des variations périodiques de luminosité comme on le voit sur les diapos ci-dessus.
De plus des interactions gravitationnelles entre ces planètes font que leur période peut varier causant des légères modifications de leur temps de transit que l’on peut ainsi mesurer. Ces variations donnent une indication des masses respectives des planètes.
 
 
Ces deux exoplanètes (Kepler 9b et 9c) sont de la taille de Saturne (respectivement 0,25 et 0,17 masse de Jupiter) et ont pour période 19 et 38 jours (curieusement presque en résonance !).
Leur masse ont été aussi évaluée grâce aux observations au sol avec le Keck de Hawaï.
 
 
Une troisième exoplanète (le tracé en bleu de la diapo de droite située ci-dessus) aurait été identifiée dans ce système solaire, elle serait du type « terrestre » de taille 1,5 fois le rayon terrestre et qui orbiterait son étoile en un rapide 1,6 jours. Inutile de dire que cette planète est « bouillante » !
Ces résultats doivent encore être confirmés.
 
 
À ce jour, la sonde Kepler a étudié plus de 165.000 étoiles dont près de 750 se révèlent être de bonne candidates pour abriter des planètes extra solaires.
 
 
POUR ALLER PLUS LOIN :
 
Article de Universetoday sur le sujet.
 
Les présentations ppt sur Kepler et ses méthodes de mesure disponibles au téléchargement.
 
Kepler, départ d’une nouvelle sonde pour exoplanètes un ancien astronews.
 
Kepler, de nouvelles découvertes , idem.
 
 
 
 
chickens_up.gif
 
VU D'EN HAUT :.LE PLANCTON VU PAR ENVISAT (26/10/2010)
(crédit photo : NASA/MODIS)
 
L’ESA nous fournit encore une fois une superbe image prise par le satellite d’étude de la Terre, Envisat.
 
On pourrait croire que c’est une partie d’un Monet.
 
Et pourtant ….
Le peintre impressionniste français n'est pour rien dans les volutes d'un bleu électrique révélées sur cette image prise par Envisat : il s'agit d'efflorescences de plancton dans l'Atlantique Nord, au large de l'Irlande.
Forme de vie la plus abondante des océans, le plancton est composé d'algues marines microscopiques qui dérivent à la surface de la mer ou à proximité de celle-ci. On le surnomme « gazon de la mer » car il s'agit de la base de la pyramide alimentaire des océans et qu'en conséquence tous les autres organismes marins en dépendent pour leur nourriture.
Comme le plancton contient des pigments de chlorophylle, ces organismes très simples jouent le même rôle que les plantes vertes terrestres dans le processus de photosynthèse.
 
 
 
 
 
Le plancton est capable de convertir des éléments inorganiques tels que l'eau, l'azote ou le carbone en composés organiques complexes. Cette capacité à « digérer » ces éléments fait du plancton un acteur essentiel de la chimie de l'atmosphère dont il absorberait autant de dioxyde de carbone que ne le fait la végétation terrestre.
 
Bien que le plancton soit composé d'organismes individuellement minuscules, la chlorophylle qu'ils utilisent ensemble donne une teinte verte aux eaux qui les entourent ce qui constitue un excellent moyen pour détecter ces micro-organismes depuis l'espace grâce à des capteurs dédiés à la « couleur des océans », comme la caméra MERIS (Medium Resolution Imaging Spectrometer) d'Envisat.
 
L'Irlande est une île divisée entre la République d'Irlande (qui couvre les cinq sixièmes de l'île au sud) et l'Irlande du Nord (le coin supérieur droit). Les falaises brunes et dentelées de la côte ouest contrastent avec le vert des plaines luxuriantes à l'intérieur des terres.
L'Irlande compte quelque 14 000 km de voies navigables et environ 800 lacs.
Le grand lac bleu sombre visible en Irlande du Nord est le Lough Neagh, le plus grand lac de l'île, avec une superficie de 392 km2.
Située à environ 30 km à l'est du lac se trouve la ville de Belfast, capitale de l'Irlande du Nord. Dublin, capitale de la République d'Irlande, est située sur la côte est (couverte de nuages). La mer d'Irlande, une portion de l'Ecosse et l'île de Man sont visibles en haut à droite, à l'est de l'Irlande.
Cette image a été acquise par la caméra MERIS le 23 mai 2010, avec une résolution au sol de 300 mètres. 
 
 
 
 
chickens_up.gif
 
 
HUBBLE:.L’ÈRE DES QUASARS. (26/10/2010)
(crédit photo : NASA, ESA et  A. Feild (STScI))
 
 
 
Le nouveau spectrographe de Hubble (le COS = Cosmic Origins Spectrograph) est en pleine forme ; il vient de mettre en évidence, une période située entre 11,7 et 11,3 milliards d’années, lorsque l’Univers (alors âgé d’à peine 1,5 milliards d’années) était dans un état d’ionisation prononcé. Les électrons s’échappaient des atomes d’Hélium nouvellement crées.
 
Le graphique ci-contre résume simplement les différentes époques significatives depuis le Big Bang :
 
De bas en haut :
 
Il y a 13,7 milliards d’années (Ga = Giga années) le début du commencement !
 
Suivi quelques 380.000 ans après par la formation d’atomes et de la première lumière qui s’échappe de la soupe de particules, et que l’on détecte maintenant, comme étant le bruit de fond cosmologique (CMB). C’est la recombinaison.
 
Cette époque bizarrement, est le début de ce que l’on va appeler les ages sombres (dark ages), en effet aucune étoile ou galaxie n’existent.
Cette période va durer quelques 500 millions d’années jusqu'à ce que les premières étoiles et les premiers trous noirs massifs produisent d'intenses rayonnements UV. Cette période se termine par une phase que l’on nomme ré-ionisation, en effet les UV ont la propriété d'ioniser les atomes c'est la raison pour laquelle cette phase est appelée ré-ionisation car la première ionisation était primordiale au moment du Big Bang.
 
C’est une intense phase de formation de galaxies, nous sommes à 13Ga approximativement.
 
L’ère des quasars débute, en étudiant, la lumière très puissante de ces quasars (notamment HE 2347-4342), ces noyaux actifs de galaxie ; les astronomes de Hubble, ont trouvé la signature (c’est à dire les raies d’absorption) de l’Hélium dans l’Ultra Violet.
Ils en ont déduit que pendant près de un ou deux milliards d’années (jusque vers 11Ga) cette puissante lumière UV provenant des quasars, aurait ré-ionisé l’Hélium encore une fois (He++)
 
L’expansion poursuivant son œuvre, la température baissa, faisant cesser ce phénomène de ré-ionisation, des galaxies plus petites, semblables à celles que nous observons aujourd’hui, peuvent se former, des planètes peuvent apparaître etc..
 
 
 
 
 
 
POUR ALLER PLUS LOIN :
 
HST/COS observations of the quasar he 2347−4342: probing the epoch of He II patchy reionization at redshifts z = 2.4–2.9, article pdf de Astrophysical Journal.
 
La fin des ages sombres, CR de la conférence de M Langer de l’IAS à la SAF.
 
 
 
 
chickens_up.gif
 
 
LES MATHÉMATIQUES DE L'ASTRONOMIE PAR B. LELARD (26/10/2010)
 
Voici une nouvelle rubrique dans vos Astronews, suite à une demande forte, notre ami Bernard Lelard, Président de l'Association d'astronomie VEGA de Plaisir (Yvelines) se propose de nous faire découvrir la genèse des mathématiques qui ont été utiles à l'Astronomie dans cette rubrique qui comportera de nombreuses parties.
Les parties précédentes :
 
o           Les Mathématiques de l'Astronomie : Partie 1 Géométrisation de l'Espace . (28/02/2008)
o           Les Mathématiques de l'Astronomie : Partie 2 La Mésopotamie . (13/03/2008)
o           Les Mathématiques de l'Astronomie : Partie 3 Thalès . (27/03/2008) 
o           Les Mathématiques de l'Astronomie : Partie 4 Anaximandre et Pythagore . (19/04/2008)
o           Les Mathématiques de l'Astronomie : Partie 5 Platon (1) . (10/05/2008)
o           Les Mathématiques de l'Astronomie : Partie 6 Platon (2) p. (19/06/2008)
o           Les Mathématiques de l'Astronomie : Partie 7 Aristote et Pythéas . (03/07/2008)
o           Les Mathématiques de l'Astronomie : Partie 8 Alexandre le Grand . (09/09/2008)
o           Les Mathématiques de l'Astronomie : Partie 9 Alexandrie et Aristarque . (06/11/2008)
o           Les Mathématiques de l'Astronomie : Partie 10 Euclide et les géométries . (19/12/2008)
o           Les Mathématiques de l'Astronomie : Partie 11 Archimède et son palimpseste . (11/01/2009)
o           Les Mathématiques de l'Astronomie : Partie 12 L'idée géniale d'Ératosthène  (30/01/2009)
o           Les Mathématiques de l'Astronomie : Partie 13 Coniques et orbites d'Apollonius  (22/02/2009)
o           Les Mathématiques de l'Astronomie : Partie 14  360° et les étoiles d’Hipparque . (27/03/2009)
o           Les Mathématiques de l'Astronomie : Partie 15 Nicomède, Poseidonios, et les derniers grands . (27/04/2009) 
o           Les Mathématiques de l'Astronomie : Partie 16 Les écoles, les Chinois etc . (15/05/2009)
o           Les Mathématiques de l'Astronomie : Partie 17 Indous, Mayas et autres . (15/05/2009)
o           Les Mathématiques de l'Astronomie : Partie 18 Les Romains, Ptolémée et Galilée . (15/05/2009)
o           Les Mathématiques de l'Astronomie : Partie 19 D'Hypatie aux maths arabes . (06/08/2009)
o           Les Mathématiques de l'Astronomie : Partie 20 Les maths des étoiles à Bagdad . (22/09/2009)
o           Les Mathématiques de l'Astronomie : Partie 21  Les sages d’al-ma’mun et le Ptolémée des arabes (27/10/2009)
o           Les Mathématiques de l'Astronomie : Partie 22 La petit nuage d'Al Sufi et la règle de trois. (04/12/2009)
o           Les Mathématiques de l'Astronomie : Partie 23 les zij des astronomes musiciens (04/02/2010)
o          Les Mathématiques de l'Astronomie : Partie 24  Aristote au Mont Saint Michel (02/04/2010)
o          Les Mathématiques de l'Astronomie : Partie 25 : Univ. de la Sorbonne à Oxford (17/05/2010)
o          Les Mathématiques de l'Astronomie : Partie 26 : Oresme, Einstein du XIV ième siècle (28/08/2010)
o        
 
 
 
PARTIE 27 : PEUERBACH, MÜLLER, LES ORBITES, LA TRIGO… ET COPERNIC
 
L’histoire officielle souligne la période dite de la « Renaissance » (XIV et XV siècles) comme une illumination dans la chronologie de la civilisation occidentale qui placerait les siècles du Moyen Age dans une obscurité alors que ceux ci furent brillants et apportèrent des contributions essentielles aux arts, à la société, à l’installation des états et aux sciences.
 
S’il fallait s’en convaincre il faudrait visiter l’exposition actuelle au Petit Palais à Paris sur la France des années 1500.
Un courant analogue soulignera tout aussi à tort le XVIII ième siècle comme « le siècle des Lumières ».
Le mot « Renaissance » fut inventé en 1840 par l’historien Michelet qui vivait mal l’aspect conservateur de la « Monarchie de Juillet » -1830,1848- en espérant un renouveau. Ce renouveau viendra en fait par un Napoléon, neveu de celui porteur d’un autre renouveau.
 
 
 
Tout cela pour dire que les choses essentielles arrivent souvent en leur temps dans plusieurs endroits à la fois après une lente évolution des esprits et des découvertes. Une manifestation, un soulèvement, une révolution ici ou là précipitent parfois les choses mais servent surtout de point de repère. Ainsi aux XIV et XV ièmes siècles l’arrivée de temps nouveaux se manifestait par un rejet de l’autorité et de la tradition, l’affirmation de la liberté individuelle et la volonté d’agir sans entrave (le printemps 68 avait donc des précédents ?).
 
Il y avait aussi une foi inébranlable dans la force morale de la conscience et dans le pouvoir de la raison pour comprendre les phénomènes naturels observés. Parallèlement la redécouverte de l’art et des écrits de l’Antiquité servirent souvent de modèles à certains. En résumé cette période dite de Renaissance était un passage de plus du traditionalisme au rationalisme et les mathématiques, outils rationalistes par excellence, devaient prendre la tête du mouvement. Les fondements de l’astronomie intégrant espace et mouvements, remises en cause essentielles aux développements futurs, participèrent grandement au renouveau en déplaçant la Terre et le Soleil à leurs vraies places.
 
L’évolution des temps fut portée par l’invention du papier et de l’imprimerie en provenance de Chine grâce à la propagation de l’Islam en Asie centrale. Inventé au début du II ième siècle par le chinois Cai Lun la papier fut développé à Samarcande au VIII ième siècle et les marchands des bazars du Caire emballaient leurs colis pour l’Europe dès le X ième siècle avec du papier. Des livres imprimés apparurent en Chine dès le IX ième siècle (inventeurs le chinois Be Sheng en 1041) et des passages du Coran furent imprimés au Caire un siècle plus tard. Le premier livre n’est donc pas une Bible contrairement à l’enseignement officiel. Les premiers objets imprimés en Europe furent des cartes à jouer en 1377 en Allemagne.
 
L’orfèvre strasbourgeois Johannes Gensfleisch zur Laden zum Gutenberg, sponsorisé par le financier Fust, inventa en 1450 la typographie (caractères mobiles en métal déjà inventés par le coréen Choe Yun-Ui en 1243, les chinois utilisant la porcelaine) et surtout la presse à bras.
Cette invention va permettre l’édition et la multiplication automatique des nouveaux écrits et des traductions alors dépendantes des copistes des monastères en pointe. Il faut aussi remarquer l’invention à la même époque de la Poste  par Francisco dei Tasso en 1490 en créant « la Compania dei Corrieri della Serenissima » à Venise qui deviendra la société européenne « Thurn und Taxi » qui existe toujours et d’où vient le mot « taxi ».
En France le roi Louis XI instaura « la poste aux chevaux » par son édit du 9 juin 1464 par des fermes relais espacées de 4 lieues (une lieue de poste valaient 3,898 m). On changeait de cheval tous les 4 relais (marcher 4 à 4). Le mot « poste » venant de l’italien-latin « posta » qui désignait le numéro de la stalle du cheval attitré du postillon dans l’écurie du relais. Ce principe de relais « posta » venait du temps de l’empereur romain Auguste (-63,14 ap JC) qui imagina le « Cursus Publicus » premier « service public ».
 
 
 
Certes la complexité de la péninsule italienne (69 petits états plus ou moins indépendants, 25 états de l’Église, 24 états souverains –duchés, royaumes, républiques -, l’Italie moderne ne datant que du Risorgimento en 1861, vaste question de cours au bac) créait une émulation et aussi une concurrence qui se traduisaient par une surenchère dans l’expression artistique, manifestation du pouvoir et de la richesse (duché de Toscane à Florence dont les ducs étaient les banquiers de l’Europe avec les Lombards à Milan, très riche république commerciale de Venise et la munificence de la Papauté à Rome).
 
timbres du duché de Toscane, Naples, Rome, Venise collection B.LELARD
 
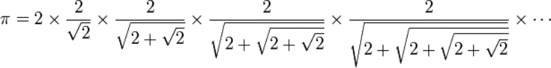
Dans ce bouillonnement simultané d’inventions la réapparition du codex grec d’Archimède en 1450 fut adaptée pour l’imprimerie par Regiomontanus l’inventeur de « la mesure des 3 angles », la trigonométrie.
 
C’est  Nicolas de Kues (1401, 1464), devenu cardinal après avoir été élève d’une école à Deventer (Pays Bas) tenue par les Frères de la Vie Commune, ordre strict et pauvre dont le peintre Jérôme Bosch fut membre, qui mit la science au service de la philosophie étant lui même mathématicien, astronome et philosophe. A l’université de Padoue Nicolas de Kues, devenu prêtre spécialiste en droit canon et en mathématiques, compris que la logique formelle d’Aristote était inadéquate car limitée aux choses finies alors que le nouvel enjeu était l’infini. Ainsi il rejetait l’idée d’un point cosmique au centre des mouvements célestes et l’hypothèse que la Terre était au centre de toutes choses et qu’elle était immobile. Il croyait aussi que la Terre se déplaçait, non sur une orbite mais par un mouvement apparent. Il ne disposait pas d’instrument, comme Galilée 60 ans plus tard, pour le démontrer.
 
Il émis aussi l’hypothèse (rappel : il était prêtre !) que la Terre n’était pas le seul lieu de l’Univers où la vie prospérait. Il écrivait ses convictions noyées dans un langage théologique, avec des conceptions philosophiques, afin de pas attirer l’attention de l’Inquisition. La circulation des livres par les postes naissantes, la construction des routes sur les voies romaines, les voyages des étudiants à travers l’Europe de la Sorbonne à Leyde et à Padoue portaient partout ses idées neuves, … partout jusqu’à Cracovie où siégeait Nicolaj Kopernik.
 
Cependant les astronomes du moment doutaient des thèses de Kues, notamment Georg Peuerbach (Peuerbach1423, Vienne 1461) qui le rencontra à Rome et fut nommé astrologue de Ladislas V qui, comme chacun sait, fut roi de Hongrie. Ses fonctions lui laissant beaucoup de temps libre il enseignait les mathématiques-astronomie à l’université. Il se passionna pour l’étude des angles et des triangles en astronomie en calculant les sinus et les cordes. Cette passion lui venait de Kues qui voulait résoudre la quadrature du cercle avec des polygones inscrits infinitésimaux au point d’approcher de la solution. 
Peuerbach établit donc des tables d’éclipses du Soleil, chercha le calcul de sinus 1° comme son contemporain lointain (les idées naissant partout en leur temps) le prince astronome ousbèk Ulug Beg (1394, 1449),     sin(1)= 0,017 452 406 437 283 571.
 
Ulug Beg avait construit à Samarkande un quadrant méridien de 40 m de diamètre, son échelle graduée avait pour un degré une rigole en marbre de 70 cm. 70 astronomes mathématiciens  établirent des tables de passages d’étoiles (1018) avec une précision inégalée servant de base aux astronomes  pendant 2 siècles.
 
La Société Astronomique de France (SAF) et l’Institut Astrophysique de France rendirent le 23 novembre 2009 un hommage mérité à Ulug Beg, pour le 400 ième anniversaire de sa naissance, au cours duquel fut invité l’astronaute
 
 
 
Buzz Aldrin devenu également astronome amateur depuis qu’il utilisa l’étoile Canopée pour seul guide dans le ciel après avoir quitté la Terre et ses repères. C’est ce jour là que Buzz Aldrin me répondit que depuis la Lune qu’il avait masqué la Terre avec son pouce bras tendu.
 
Peuerbach avait un élève critiqueur : Regiomontanus, de son vrai nom Johann Müller (1436, 1476). Il était né à Königsberg « la montagne du roi », à cette époque le latin primait, l’Église ne le quittera qu’en 1962. Müller enseigna à Padoue, lui aussi, les mathématiques et l’astronomie.
 
 
Regiomantanus                                illustration : S Mehl.
 
 
Il s’installa à Nuremberg où il fit construire un observatoire (maison sans toit) et une imprimerie.
Il est considéré comme le père de la trigonométrie qu’il développa comme une branche des mathématiques indépendante de l’astronomie : »De triangulis planis et spherici libi quinque, una cum tabulis sinuum ». Ce traité  fut publié longtemps après sa mort (1533) et l’astronome mathématicien allemand Barthélémy Pitiscus (1561, 1613) le compléta en inventant le mot « trigonométrie » voulant dire « mesure des trois angles ». Il traduisit une nouvelle version de l’Almageste de Ptolémée qu’il compléta par les apports des Arabes Albattâni, Alzarquâli, et Jâbir ibn Aflah et du juif Levi ben Gerson (1288, 1344).
Regiomontanus utilisa aussi systématiquement le mot sinus (venant du sanscrit d’Aryabahta et de l’arabe, mal traduit par sinus (latin de pli) par les copistes).
On lui doit ainsi la représentation du sinus dans le triangle :
 
 
 
sin ^B = AC/BC
 
 
illustration : S Mehl.
 
 
 
 
Il étudia les problèmes de limites géométriques et la théorie des nombres en s’appuyant sur un manuscrit de Diophante qu’il découvrit en 1443. Avec son imprimerie il édita la théorie des planètes de Peurbach (1471) et des calendriers parce qu’ils se vendaient bien. Il voulut imprimer tous les classiques de l’Antiquité grecque Euclide, Archimède, Apollonius, Ptolémée, Diophante mais la mort l’en empêcha et ses héritiers ne furent pas à la hauteur.
L’arrivée à Vienne du légat du Pape, le cardinal Bessarion, lança Peurbach et Regiomontanus dans l’étude de l’Almageste, sorte de livre officiel de l’Église. A la mort de Peurbach Regiomontanus se rendit à Rome avec le cardinal pour publier en 1496 l’ »Epitomé » ouvrage qui complétait l’Almageste des découvertes et observations récentes, avec aussi des critiques sur le mouvement de la Lune incompatible avec son diamètre apparent (ses critiques serviront Copernic dans ses travaux). Regiomontanus resta dans l’entourage de Bessarion à Rome et put parfaire ses observations sur le mouvement des planètes et l’adaptation des textes antiques. A l’invitation de Mathias premier, qui, comme chacun sait était roi de Hongrie, il put collationner des manuscrits originaux que le roi avait raflé probablement à Byzance désormais sous la coupe des Turcs.
 
 
Regiomontanus ne parvenant pas  à faire éditer ses travaux par des éditeurs imprimeurs commerciaux (ses livres ne se vendant pas suffisamment) se rendit à Nuremberg en 1471 chez un riche mécène, Bernhart Walther, qui disposait d’une presse et d’un observatoire (maison au toit troué).
 
Là Regiomontanus put imprimer et diffuser ses travaux qui firent autorité par leur exactitude. Avec Walther il observa et décrivit en janvier 1482 une comète brillante qui se trouva être la comète de Halley.
 
 
 
 
 
Ainsi donc l’époque dite Renaissance permit la sortie sous presse de nouvelles théories, notamment en algèbre diffusant les premières notations symboliques et les chiffres indo-arabes. Les premiers livres mathématiques parlaient de « coss » (d’après l’italien cosa = res, la chose pour l’inconnue), s’y rajoutaient les puissances, les racines et des abréviations balbutiantes comme ¨p pour « + », origine de « plus ». Ces livres étaient la « Practica arithmeticae » (1539) de J.Cardan (1501, 1576) et l’ »Arithmetica intégra » (1544) de M.Stiftel (1501, 1576) qui simplifiera l’écriture des 8 formes initiales des équations du second degré, avec leur 24 règles, en une seule, celle que nous connaissons. Il faut citer au moins une fois des illustres inconnus qui ont fait avancer les mathématiques : Scipion del Ferro (1465, 1526) (équation du 3ième degré publié par Cardan), Antoine Fiori en 1535 organisa des tournois de math en challengeant le fort en math du moment Nicolas Tartaglia par 30 problèmes du 3ième degré. Tartaglia gagna avant les délais mais garda secrète sa méthode. Cardan réussira à convaincre Tartaglia à lui communiquer sa solution pendant que  Ferro trouvait une autre solution. Ces querelles ridicules montrent l’ambiance de compétition dans un cadre de multiples découvertes. Autres illustres : Bombelli et sa racine de 13 (1572), et Cataldi
 
 
 
 
Les éléments d’Euclide furent imprimés à Venise en 1492 par une filiale (déjà) de l’imprimerie Ratdolt d’Augsburg. Des pinailleurs, Zamberti puis Pacioli,  retraduisirent le texte grec et une nouvelle édition en 1509 calma les esprits bien qu’un français, Lefèvre d’Etaples, publia en 1516 une édition contradictoire des textes grec et latin.
Le jésuite Clavius (1537, 1612 celui du cratère) publia aussi sa version à partir du texte intégral, mais avec des commentaires mathématiques qui firent autorité pendant un siècle et demi. Le père Clavius, professeur au « Collegium Romanum » de Rome prit une part capitale dans la réforme du calendrier grégorien en 1582 et publia (1608) une « Algèbre », dont est issu le mot, livre fondamental utilisé par Galilée. La polémique suivante concerna la traduction révisée d’un manuscrit d’Apollonius, annoté par Regiomontanus. J.Werner (1468, 1528) puis Valla de Pappus reprirent son texte, puis G.B.Memmo en 1537, puis Commandino, puis Maurolico. Voyant ce cafouillage le duc Ferdinand I er de Médicis (1549, 1609) acheta un manuscrit original arabe, le fit traduire et Commandino publia une version, puis Viviani (1622, 1703), puis Borelli en 1661, puis Ravius en 1669. Et c’est ainsi que nous parvinrent enfin les paraboles, ellipses et hyberboles d’Appolonius de Perga.
 
Pendant ces temps là Christophe Colombo découvre l’Amérique en 1492, Vasco de Gama contourne le Cap en 1498, Herman Cortès tue Moctézuma et s’empare du Mexique en 1521, Magellan boucle son tour du monde en 1522,  François Ier défait les mercenaires Suisses à Marignan en 1515 (date la plus connue des français) avec 10.000 morts en 2 jours, la plus sanglante bataille depuis l’Antiquité, Luther affiche ses 95 thèses  contre l’Eglise en 1517, Ivan IV est tsar de Russie en 1547, Venise bat les Turcs à Lépante en 1571, Henri II à la saint Barthélémy fait tuer 30.000 protestants en 1572, les Anglais coulent l’Invincible Armada en 1588.
 
Mais aussi Léonard de Vinci peint la Joconde vers 1500, Chambord est construit en 1519, le Titien, le Tintoret, Véronèse et les autres décorent les 104 églises de Venise, Michel Ange peint la Chapelle Sixtine en 1532, sculpte  le David de la piazza Signora à Florence et la Pièta du Vatican.
 
 
 
 
 
 
 
 
 
 
Tous les petits résultats précédents sont insignifiants à côté de l’impulsion donnée par le mathématicien français François Viète ( Fontenay le Comte 1540, Paris 1603). Juriste il s’enthousiasme par le mouvement humaniste de la Renaissance. De formation juridique il a été l’avocat des grandes familles protestantes, des Rohan notamment, conseiller au parlement de Rennes sous Charles IX, maître des requêtes de l’hôtel du roi sous Henri III, et sous Henri IV dont il sera l’ami, le déchiffreur des billets secrets (il cassait les codes secrets des ennemis) et membre du Conseil. Il était aussi et surtout mathématicien amateur.
Dès l’âge de 30 ans il dresse le plan d’un grand ouvrage d’astronomie jugeant le livre de Copernic trop imprécis. Il calcule de nouvelles tables trigonométriques en 1571 et il souligne la difficulté de compter en système sexagésimal (base 60) toujours en vigueur dans le milieu scientifique. Son livre publié à Paris en 1579, « Canon mathematicus, seu ad triangula cum appendicibus » contient en appendice le codicille:
"En mathématiques les soixantièmes et les soixantaines (c'est à dire la base 60 qu'utilisèrent les mathématiciens babyloniens puis grecs) doivent être d’un usage rare ou nul. Au contraire les millièmes et les mille, les centièmes et les centaines, les dixièmes et les dizaines doivent être d’un usage fréquent ou constant".  
 
 
 
Et désormais le système décimal s’impose ainsi que les abréviations d=dixième, c=centième, m=millième et la notation numérateur, dénominateur qu’il généralise.
Ayant eu à subir une période de loisirs involontaires de 1584 à 1589 (Viète devenu maître des requêtes en 1580 fut exclu par les Guises) en tant que conseiller juridique des protestants, Viète se consacra à l’étude des éditions de Commandino et à celles de Diophante, il réunit aussi l’ »Ars magna » et « l’Opus Novum (1570) de Cardan, du « Trattato » de Tartaglia, de l’ »Algebra » de Bombelli et de l’ »Arithmétique » de Stevin (1585).
Mais l’avancée capitale restera l’introduction du calcul littéral (1591) avec « Isagoge in artem analyticam » où les inconnues étaient symbolisées par des voyelles et les quantités connues par des consonnes. A partir de 1591 Viète s’attacha à l’algèbre littéral pour les constructions géométriques : construction d’un quadrilatère inscriptible connaissant ses 4 côtés, construction de l’heptagone, quadrature des lunules d’Hippocrate, démonstration de l’approximation de Nicolas de Kuès :
((3 sin f)/ 52+ cos f))/ inf f  au moyen d’un segment de la spirale d’Archimède et le produit illimité 
 
 
 
qui lui fit dire :
« Nous ne comprenons pas comment la terre n'est qu'un point de l'immense espace du ciel ; quant à moi, je m'incline devant le mystère du très haut et je ne cherche pas un nœud sur un jonc. »
Lors d’une réunion à Fontainebleau entre le roi Henri IV et l’ambassadeur des Pays Bas le roi étala les preuves du génie français en présenta Viète. L’ambassadeur lui posa alors le problème de Roomen qu’il avait soumis à des savants européens, sauf à un français. Viète, qui était présent en tant que membre du Cabinet du roi, résolut presque instantanément (« ut legi, ut solvi », sitôt lu, sitôt résolu, dit il à l’ambassadeur ébahi) une équation du 45 ième degré posée par Roomen lors d’un concours et qu’il transforma à la division d’un angle en 45 parties égales. Viète posa à son tour le problème d’un cercle (C) tangent à 3 autres C1 et C2 à la règle et au compas que Roomen ne sut pas résoudre au grand dam de l’ambassadeur.
 
 
Ses interprétations géométriques résolues par l’algèbre le conduisent à décrire le mouvement des planètes comme elliptique devançant Kepler (« astronomia nova » 1604) sur ce sujet en raison de son expertise sur les coniques.
La vie de Viète est un roman tant elle est riche en rebondissements et en mystères dans le décodage des messages secrets dans le cabinets des rois, les plaidoiries des plus grands, les aventures sentimentales avec les reines. On ne sut jamais s’il était catholique ou protestant, prônant le culte de l’ »Etre Suprême » qui sera repris par Robespierre. Sa vie sentimentale est mystérieuse, mais sa prodigieuse intelligence nous a laissé le cadre de nos mathématiques et préparé les découvertes de Copernic et de Képler.
 
 
 
Ses nombreux élèves propagerons ses notations algébriques dans toute l’Europe et Descartes la reprendra définitivement.
 
 
Bernard LELARD
Des versions imprimables peuvent m’être demandées :à bernard.lelard@gmail.com
 
 
 
chickens_up.gif
 
 
CASSINI –SATURNE :.LA DIVISION DE CASSINI À LA LOUPE. (26/10/2010)
(images : NASA/JPL)
 
 
Le 3 septembre 2010, la sonde Cassini s’est intéressée particulièrement à la division de Cassini qui marque la séparation entre les anneaux A (extérieur) et B (intérieur) de la planète Saturne.
Elle occupe la presque totalité de l’image ci-contre.
 
La division de Cassini est due à une résonance avec le satellite Mimas.
 
Cette division, est loin d’être vide comme on s’en aperçoit sur cette photo sur laquelle j’ai ajouté des commentaires.
 
La division de Cassini, large de 4700km, possède elle-même une petite sous division, la division de Huygens dans sa partie intérieur. Cette petite division comportant elle même un annelet l’annelet de Huygens.
On remarque aussi d’autres discontinuités dans la division de Cassini, dues aux résonances avec différents satellites de Saturne.
 
 
 
 
 
Image prise dans le visible d’une distance de 443.000 km de Saturne.
 
 
 
Pour vous y retrouver dans la numération et l'ordre des anneaux.
 
 
Comme d'habitude, vous trouverez toutes les dernières images de Cassini au JPL
Les animations et vidéos : http://saturn.jpl.nasa.gov/multimedia/videos/videos.cfm?categoryID=17
 
Les prochains survols : http://saturn.jpl.nasa.gov/home/index.cfm
Tout sur les orbites de Cassini par The Planetary Society; très bon!
 
Voir liste des principaux satellites.
 
Sur ce site les dernières nouvelles de la mission Cassini.
 
 
 
 
chickens_up.gif
 
 
 
 
LES ROVERS MARTIENS :.UN PANORAMA INTÉRESSANT. (26/10/2010)
(Photos NASA/JPL)
 
Pour fêter ses 24 km (15 miles) sur Mars, Opportunity, le vaillant robot, a pris cet impressionnant panorama le 6 Octobre 2010 (sol2382).
 
 
 
On y remarque le terrain en tôle ondulée, formé ainsi par le vent et le sable ; et dans le fond, les bords du cratère Endeavour, sa prochaine cible, située encore à plus de 8km.
 
 
Les meilleures photos sont classées dans le planetary photojournal que vous pouvez retrouver à tout instant:
http://photojournal.jpl.nasa.gov/targetFamily/Mars
 
Où sont les rovers maintenant, cette page de la NASA vous donne la carte précise des chemins et emplacements.
 
Les images en couleur par des amateurs: http://www.lyle.org/~markoff/
Comprendre les couleurs : http://www.highmars.org/niac/education/mer/mer00b.html
 
Les rapports de mission par la Planetary Society, très complets.
 
Des belles photos (certaines retraitées) des robots martiens par James Canvin.
 
 
 
 
chickens_up.gif
 
 
LIVRE CONSEILLÉ.:.LES PLANÈTES LES NÔTRES ET LES AUTRES PAR TH. ENCRENAZ CHEZ EDP. (26/10/2010)
 
 
 
Notre amie et célèbre astrophysicienne Thérèse Encrenaz, vient de publier un livre qui fait le point sur ce qu’est une planète, leur naissance et la recherche de planètes dans d’autres systèmes solaires.
 
Thérèse Encrenaz est directrice de recherche au CNRS. Elle travaille au Laboratoire d'Études Spatiales et Instrumentales en Astrophysique (LESIA) à l'Observatoire de Paris.
 
Elle est spécialiste de l'étude des atmosphères planétaires et a participé à de nombreuses missions spatiales.
Signalons que Th Encrenaz écrit aussi très souvent de nombreux articles dans la revue l’Astronomie de la SAF.
 
Richement illustré, son dernier livre est passionnant et accessible à tous.
 
Préface par James Lequeux.
 
 
 
 
 
 
4ème de couverture
Qu'est-ce qu'une planète ? La réponse semble aller de soi ; pourtant, la définition des planètes n'a cessé d'évoluer au cours des siècles et leur nombre a fluctué au fil des découvertes successives. En 2006, la décision prise par l'Union Astronomique Internationale de retirer à Pluton le titre de «planète» a bien souligné les difficultés de leur définition. La découverte récente de plusieurs centaines d'«exoplanètes» autour d'étoiles de notre galaxie proches du Soleil ouvre une dimension supplémentaire et spectaculaire à la recherche en astrophysique. Nous savons actuellement très peu de choses sur la nature physique des exoplanètes. En revanche, nos connaissances sur les planètes du système solaire se sont accumulées au cours des dernières décennies, notamment grâce à leur exploration spatiale. Cet ouvrage se propose d'abord de caractériser ces dernières, à la fois dans leur globalité et dans leur spécificité. Il utilise ensuite ces connaissances pour tenter d'imaginer la nature des exoplanètes à partir des quelques paramètres dont nous disposons. Avec en tête la question d'une éventuelle vie extraterrestre : celle-ci pourrait-elle exister ou avoir existé dans le système solaire ou au-delà ?

 
 
Extrait de l'introduction

Qu'est-ce qu'une planète ? La question peut paraître étrange tant sa réponse paraît de prime abord aller de soi. Pourtant, la définition d'une planète a évolué au cours des siècles. Les Grecs avaient donné le nom de «planètes», c'est-à-dire d'«astres errants», aux objets célestes dont la position évoluait par rapport à celle des étoiles, dites «fixes», de la sphère céleste. Les Anciens ne connaissaient que les planètes visibles à l’œil nu, dont la traduction latine nous est restée : Mercure, Vénus, Mars, Jupiter, Saturne. Au XVIe siècle, suite à la révolution copernicienne, les planètes furent définies comme les astres en orbite autour du Soleil, et leur liste inclut donc la Terre. Celle-ci s'allongea avec la découverte d'Uranus en 1781.
 
La découverte des plus gros astéroïdes, au tout début du XIXe siècle, bouscula quelque peu le paysage. Les astronomes comprirent vite qu'une nouvelle classe d'objets était découverte, celle des astéroïdes de la ceinture principale, situés entre Mars et Jupiter. Ces objets, appelés à être découverts en nombre toujours croissant, furent appelés «astéroïdes» ou «petites planètes», et ainsi exclus de la liste des planètes officielles. Après la découverte de Neptune en 1846, la liste des planètes du système solaire comprenait donc huit planètes.
Nouvelle surprise en 1930 : un objet lointain, en orbite autour du Soleil, est découvert au-delà de l'orbite de Neptune et baptisé Pluton. Tout naturellement, on lui attribue le statut de neuvième planète.
 
Statut qui va durer jusqu'en 2006, date à laquelle l'Union astronomique internationale (UAI) décide de retirer à Pluton le label de planète. Que s'est-il passé entre-temps ? C'est que, depuis 1992, suite à une longue traque menée à partir de télescopes de plus en plus puissants dédiés à ce programme, une nouvelle classe d'objets a été découverte : celle des objets transneptuniens (Trans Neptunian Objects ou TNOs). Ils sont situés au-delà de l'orbite de Neptune (d'où leur nom), dans une région du système solaire appelée ceinture de Kuiper. Leur existence était suspectée depuis plusieurs dizaines d'années, grâce aux travaux théoriques des astronomes K. Edgeworth et G. Kuiper; elle explique, en particulier, l'origine des comètes à faible inclinaison et courte période.
A mesure que les découvertes s'accumulent, il apparaît que Pluton n'est que l'un des membres les plus massifs de cette nouvelle famille, ce qui lui a valu d'être découvert bien avant les autres.
 
 
SOMMAIRE :
 
·        Comment explorer les planètes ?
·        La naissance des planètes
·        A la découverte de la planète terre
·        Les voisines de la terre
·        Un peu plus loin, les planètes géantes
·        Exoplanètes, les nouveaux mondes
·        A la recherche de mondes habitables
 
 
Prix : 21.00 €        ISBN : 9782759804443

 
 
chickens_up.gif
 
 
 
LIVRE CONSEILLÉ :.EMBARQUER DÈS DEMAIN POUR L’ESPACE CHEZ VUIBERT. (26/10/2010)
 
 
Cet ouvrage, sous titré « Le vol suborbital touristique » est une œuvre collective de spécialistes du genre (Frank LEHOT, Jean-François CLERVOY, François CAQUELARD, Rémi CAUCHOIS, Philippe COUÉ, Giovanni DODELIN, Frédéric GAI, Roger GUCCIARDI, Christophe LEFÈVRE, Christophe MORA, ROSIER, Jacques VILLAIN) coordonné par Frank Lehot spécialiste des vols zéro-G.
 
 
Le tourisme suborbital sera bientôt au point et, dans les toutes prochaines années, les premiers passagers embarqueront à bord de capsules ou d’avions suborbitaux pour contempler la Terre depuis la frontière de l’espace.
 
Voici ce qu’en dit l’éditeur :
 
Peu à peu, le vol suborbital offrira à tous ceux qui en rêvaient l’occasion d’éprouver, au cours d’un voyage inoubliable, les sensations jusqu’alors réservées aux astronautes professionnels – depuis la joie d’évoluer en apesanteur jusqu’à la vision émouvante de notre planète en passant, bien sûr, par les impressionnantes phases de décollage et de rentrée atmosphérique.
 
 
 
 
Comme en témoignent tous les astronautes de retour de mission, ce voyage à la frontière de l’espace restera sans doute l’une des plus fortes expériences que l’on puisse vivre.
Les auteurs de ce livre sont tous passionnés d’espace et ardents défenseurs d’un accès démocratisé à l’« ultime frontière ».
 
Réunis autour de Jean-François Clervoy, astronaute de l’ESA, ils abordent ici tous les aspects de ce qui pourrait devenir l’une des grandes aventures du XXIe siècle.
 
Sommaire :
 
·        Une histoire des vols suborbitaux habités
·        Les principaux véhicules suborbitaux
·        Le potentiel commercial du tourisme suborbital
·        Les vols paraboliques, première étape du tourisme spatial
·        Le déroulement d’un vol suborbital
·        Les aspects techniques : conception d’un véhicule suborbital habité
·        Les aspects juridiques
·        Les aspects médicaux
·        Les astroports.
 
prix : 25.00 €    320 pages    ISBN : 2-3110-0219-8
 
 
 
Tenez vous prêts à embarquer pour l’espace, on décolle bientôt……….
 
 
 
chickens_up.gif
 
 
LES MAGAZINES CONSEILLÉS.:.L’ASTRONOMIE DE NOVEMBRE EST PARU (26/10/2010)
 
 
Encore un numéro passionnant de l’Astronomie, la revue de la SAF (Société Astronomique de France), j’ai noté quelques articles parmi les plus intéressants :
 
·        Évidemment les news astro pilotées par S Collin-Zahn
·        Un long article sur ALMA, le nouvel observatoire radio astronomie de l’ESO par Jérome Pety  de l’IRAM
·        Philippe Coué fait le point sur l’aventure ISS
·        Dans la rubrique histoire, JM Faidit nous parle du découvreur de la nébuleuse d’Orion, Fabri de Peiresc, je suis certain que beaucoup d’entre vous ne le connaissait pas.
·        Guy Artzner met l’interférométrie à la portée de tous
·        Dominique Proust a assisté à la dernière éclipse depuis l’Île de Pâques, il nous présente photos et rapport.
·        Et toutes les rubriques habituelles.
 
 
 
 
5,90€ chez tous les marchands de journaux.
 
 
chickens_up.gif
 
 
LES MAGAZINES CONSEILLÉS :.LA RECHERCHE LES 24 PLUS BEAUX DÉFIS DE LA SCIENCE (26/10/2010)
 
 
Numéro spécial de la Revue La Recherche sur les 24 plus beaux défis de la Science, et notamment ceux qui concernent l’astronomie et la matière. Numéro daté Novembre 2010.
 
Étudier des phénomènes nouveaux, repousser les limites des théories et des expériences à l’aide d’instruments plus performants : les scientifiques font progresser notre connaissance du monde en relevant en permanence des défis que leur pose la science. Comment étudient-ils des phénomènes extrêmes ? Quelles expériences hors du commun entreprennent-ils ? C’est ce que nous avons choisi de vous raconter à travers 24 histoires de recherches, autant de défis relevés. De l’extraordinaire résistance à la radioactivité de la bactérie Deinococcus radiodurans à la mise au point de calculateurs toujours plus puissants, en passant par la mesure de la température la plus élevée de l’Univers, ces récits nous conduisent dans tous les domaines de la science. Bonne lecture !
 
 
 
Voici les sujets qui nous concernent principalement :
 
Astronomie :
·        Un nouveau type de trou noir
·        Poussière brillante au coeur des nuages
·        UNE NOVA QUI RAYONNE EN GAMMA
·        PHOBOS, AGGLOMÉRAT DE DÉBRIS ?
·        FORMATION L'explosion d'une supernova à l'origine du système solaire
 
Matière :
·        PHYSIQUE DES PARTICULES La montée en puissance du LHC
·        DILATATION DU TEMPS
·        Une nano-antenne qui oriente la lumière dans une seule direction
·        MOLÉCULES FROIDES
·        Électrodes en graphène
 
 
 
chickens_up.gif
 
 
 
Bonne Lecture à tous.
 
 
 
C'est tout pour aujourd'hui!!
 
Bon ciel à tous!
 
JEAN PIERRE MARTIN
Abonnez-vous gratuitement aux astronews du site en envoyant votre e-mail.
 
Astronews précédentes : ICI